当前位置:主页>曲谱大全>外国歌谱>

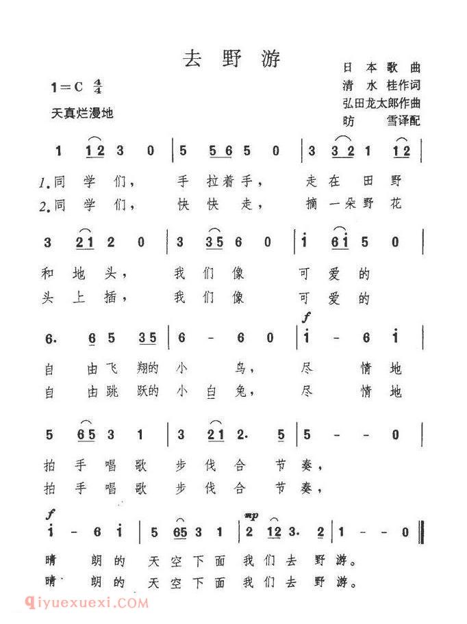
去野游 | 日本

来源:网络  作者:佚名  时间:2021-07-26    提示:文中图片可全屏

去野游 | 日本高清简谱歌词是器乐学习网于2021年07月26日 10:06:56更新分享的外国歌谱;资源收录于外国歌谱栏目中;器乐学习网免费分享去野游 | 日本简谱与五线谱歌谱图片,欢迎在线免费下载;器乐学习网无需注册会员,直接免费下载各类乐器学习资源及乐谱。

去野游 | 日本

相关文章 推荐

打工恋曲简谱
人气:97
歌曲简谱
打工恋曲简谱
娃娃灯调(秧歌)_濮阳市_灯歌_河南民歌简谱
人气:88
民歌曲谱
娃娃灯调(秧歌)_濮阳市_灯歌_河南民歌简谱
大放羊(二)(花鼓子) 1979年 柞水县_陕西民歌简谱
人气:316
民歌曲谱
大放羊(二)(花鼓子) 1979年 柞水县_陕西民歌简谱
合唱曲谱[晚霞里的歌/连成光词 王国华曲]简谱
人气:163
合唱歌谱
合唱曲谱[晚霞里的歌/连成光词 王国华曲]简谱
儿童歌曲谱[祖国妈妈亚克西]
人气:202
少儿歌谱
儿童歌曲谱[祖国妈妈亚克西]
唐宋词古乐谱:定风波(宋·陈允平)五线谱
人气:57
歌曲简谱
唐宋词古乐谱:定风波(宋·陈允平)五线谱
迷魂汤简谱
人气:183
歌曲简谱
迷魂汤简谱
简谱 │ 她来听我的演唱会
人气:139
歌曲简谱
简谱 │ 她来听我的演唱会
纤夫的爱 崔文志词 万首曲
人气:91
歌曲简谱
纤夫的爱 崔文志词 万首曲
合唱乐谱[重阳是一条老人河/女声小合唱/山河]2版本简谱
人气:284
合唱歌谱
合唱乐谱[重阳是一条老人河/女声小合唱/山河]2版本简谱
合唱歌曲[得乐歌/男女声对唱、伴唱]简谱
人气:106
合唱歌谱
合唱歌曲[得乐歌/男女声对唱、伴唱]简谱
河南民歌[太平年]简谱
人气:210
民歌曲谱
河南民歌[太平年]简谱

大家都在看

这世界不是由我安排 | 俄罗斯

这世界不是由我安排 | 俄罗斯

这世界不是由我安排 | 俄罗斯...

外国歌谱 189 阅读

简谱《青年团员之歌/合唱》苏联

简谱《青年团员之歌/合唱》苏联

简谱《青年团员之歌/合唱》苏联...

外国歌谱 144 阅读

Lascia ch'io pianga 让我痛哭吧 | 意大利

Lascia ch'io pianga 让我痛哭吧 | 意大利

Lascia ch'io pianga 让我痛哭吧 | 意大利...

外国歌谱 168 阅读

离别 | 五线谱

离别 | 五线谱

离别 | 五线谱...

外国歌谱 80 阅读

意大利 | 圣洁女神_选自歌剧诺尔玛_五线谱

意大利 | 圣洁女神_选自歌剧诺尔玛_五线谱

意大利 | 圣洁女神_选自歌剧诺尔玛_五线谱...

外国歌谱 91 阅读

俄罗斯 | 金顶的莫斯科 | 简谱

俄罗斯 | 金顶的莫斯科 | 简谱

俄罗斯 | 金顶的莫斯科 | 简谱...

外国歌谱 65 阅读

吉日里起程 | 日本

吉日里起程 | 日本

吉日里起程 | 日本...

外国歌谱 135 阅读

英国 | TO THE MAYPOLE HASTE AWAY 快奔向那五月柱 | 简谱

英国 | TO THE MAYPOLE HASTE AWAY 快奔向那五月柱 | 简谱

英国 | TO THE MAYPOLE HASTE AWAY 快奔向那五月柱 | 简谱...

外国歌谱 107 阅读

爱吃零食的姑娘 | 日本

爱吃零食的姑娘 | 日本

爱吃零食的姑娘 | 日本...

外国歌谱 131 阅读

扑蝴蝶&左权县_秧歌_山西民间歌曲简谱

扑蝴蝶&左权县_秧歌_山西民间歌曲简谱

扑蝴蝶&左权县_秧歌_山西民间歌曲简谱...

外国歌谱 84 阅读

夏日胜境 | 美国

夏日胜境 | 美国

夏日胜境 | 美国...

外国歌谱 105 阅读

雄鹰之歌 如果我能够 | 简谱

雄鹰之歌 如果我能够 | 简谱

雄鹰之歌 如果我能够 | 简谱...

外国歌谱 74 阅读

美丽的湖水 | 日本

美丽的湖水 | 日本

美丽的湖水 | 日本...

外国歌谱 57 阅读

Canal Street Blues_蓝调音乐 | 五线谱

Canal Street Blues_蓝调音乐 | 五线谱

Canal Street Blues_蓝调音乐 | 五线谱...

外国歌谱 86 阅读

Invitation 带和弦五线谱

Invitation 带和弦五线谱

Invitation 带和弦五线谱...

外国歌谱 167 阅读